Skip to content
Facebook iconYouTube iconTwitter iconFlickr iconLinkedInInstagram
Office of Planning, Environment, & Realty (HEP)
HEP Events Guidance Publications Glossary Awards Contacts

SAFETEA-LU Evaluation and Assessment Phase I

Appendix C. CMAQ Project Templates

Category: DUST MITIGATION

Subcategory: Dust Mitigation

CMAQ Project ID: CA20040439
Project Year: 2004
Location: Ridgecrest, California
MPO: Kern Council of Governments
Description: Graaf Ave. Paving Project - The "Graaf Avenue Paving Project" will provide funding for the City of Ridgecrest to pave 2 lanes of moving traffic, pave 2 lanes of parking, and install curb, gutter, and sidewalk on both sides of the street. This project includes the last unpaved section of Graaf Avenue within the city limits. It serves as a direct route to Immanual Christian School and other commercial activity centers. The total length of the project is 0.25 miles, along Graaf Avenue between Norma St. and Wayne St.
Travel Impacts
Δ Vehicle trips NA METHODOLOGY/ASSUMPTIONS:
Δ VMT NA

Using visual observation, there are about 300 average daily trips (ADT).

The total project length is 1,320 feet.

27,375 annual VMT = 300 ADT * 365 days per year * (1,320 feet / 5,280 feet per mile)

Δ Speed NA
Δ Delay NA
Δ SOV NA
Δ CP/VP NA
Δ Transit NA
Δ Walk NA
Δ Bike NA
Emissions
Δ VOC NA METHODOLOGY/ASSUMPTIONS:
Δ NOx NA

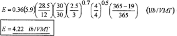
Using visual observation, the average traffic speed on the road is 30 mph. The silt content of the road material was estimated as 28.5%. The road carries residential traffic, comprised mostly of cars, SUVs, and trucks; therefore, the mean vehicle weight was estimated 2.5 tons. Data from the Western Regional Climate Center indicates the number of days with at least 0.01 inches of precipitation was 19 in 1998. The particle size multiplier was 0.36, from PM10 guidelines.

The following equation was used to calculate the quantity of size specific particulate emissions from the unpaved road.

E = 0.36(5.9)(28.5/12)(30/30)(2.5/3)^0.7(4/4)^0.5((365-19)/365) (1lb/VMT) E=4.22 lb/VMT
Δ CO NA
Δ PM10 - 143 kg/day
Δ PM2.5 NA
Δ Total NA
Costs
Project life: 20 yrs Interest rate: 7%
  CMAQ NON-CMAQ TOTAL METHODOLOGY/ASSUMPTIONS:
Capital $174,360 $22,637 $197,360

Engineering costs were comprised of $16,909 CMAQ and
$2,191 in local funding. Construction costs were split between $157,814 in CMAQ funding and $20,446 in local match.

The cost effectiveness calculation provided by the project sponsor uses a 0.071 capital recovery factor.
(0.071 * $197,360) / 143 kg/day = $97.98 per kg of PM10

Adm/oper $0 $0 $0
Total $174,360 $22,637 $197,360
Total annualized public cost $20,817
Annual revenues None
Net public cost $197,360
Annual private cost NA
Total net cost $197,360

Category: DUST MITIGATION

Subcategory: Dust Mitigation

CMAQ Project ID: ID20040003
Project Year: 2004
Location: Sandpoint, Idaho
MPO: Bannock Planning Organization
Description: Lincoln Ave. Sandpoint - This project will fund the paving of Lincoln Avenue from Pine Street to Main Street in order to reduce the generation of PM10. Emissions inventory studies have shown that fugitive road dust emissions are a major source of PM10 emissions in most western US communities, contributing to 53% of the annual emissions and 37% of the winter-time daily emissions. The air quality improvement plan for the Sandpoint Nonattainment Area includes reducing fugitive road dust by paving and resurfacing.
Travel Impacts
Δ Vehicle trips NA METHODOLOGY/ASSUMPTIONS:
Δ VMT NA
  • Project length = 0.48 miles
  • Average Daily Traffic (ADT) = 1,030 vehicles/day

The project sponsor supplied ADT using vehicle counts. VMT was based on data obtained from Bannock Planning Organization 1998 Household Survey, COMPASS 1997-98 Valley Origin and Destination Study, and Northern Idaho Corridor Plans.

Δ Speed NA
Δ Delay NA
Δ SOV NA
Δ CP/VP NA
Δ Transit NA
Δ Walk NA
Δ Bike NA
Emissions
Δ VOC NA METHODOLOGY/ASSUMPTIONS:
Δ NOx NA
  • Particulate matter for unpaved roads = 0.360 kg/VMT
  • Particulate matter for paved roads = 0.005 kg/VMT

Emissions reduction = (0.360 kg/VMT 0.005 kg/VMT) x (1,030 vehicles) x (0.48 miles) = 175.512 kg/day

Δ CO NA
Δ PM10 - 175.512 kg/day
Δ PM2.5 NA
Δ Total -175.512 kg/day
(0.193 tpd)
Costs
Project life: 20 yrs Interest rate: 7%
  CMAQ NON-CMAQ TOTAL METHODOLOGY/ASSUMPTIONS:
Capital $319,600 $0 $319,600

Annual emissions reduction = 177 kg/day x 260 days = 46,020 kg/year emissions reduction

The statewide average number of days with less than 0.01 inches precipitation is 260 days. 20-year project life was determined by the average life of maintained paved roadway in Idaho.

Adm/oper $0 $0 $0
Total $319,600 $0 $319,600
Total annualized public cost $33,710
Annual revenues None
Net public cost $319,600
Annual private cost NA
Total net cost $319,600

NOTE: Emissions reductions for PM10 reported in the CMAQ database (255.11 kg/day) differ from those calculated and provided by the State (175 kg/day). A cost benefit calculation was provided by the State which assumed emissions benefits 260 days/year for 20 years.

Category: DUST MITIGATION

Subcategory: Dust Mitigation

CMAQ Project ID: ID20050017
Project Year: 2005
Location: Bannock County, Idaho
MPO: Bannock Planning Organization
Description: Purchase of a Liquid De-Icer Truck - Project to purchase a liquid de-icing truck to reduce application of sand and salt in the winter months thereby reducing PM10 emissions. The truck will use a combination of Magnesium Chloride on gravel roads and anti-icing chemicals on paved roads.
Travel Impacts
Δ Vehicle trips NA METHODOLOGY/ASSUMPTIONS:
Δ VMT 141,845.5 /day
  • Length of gravel road = 33.45 miles
  • VMT on gravel = 2,247.3 miles/day
  • Length of paved road = 191.06 miles
  • VMT = 139,598.2 miles/day

VMT was based on data obtained from Bannock Planning Organization 1998 Household Survey, COMPASS 1997-98 Valley Origin and Destination Study, and Northern Idaho Corridor Plans.

Δ Speed NA
Δ Delay NA
Δ SOV NA
Δ CP/VP NA
Δ Transit NA
Δ Walk NA
Δ Bike NA
Emissions
Δ VOC NA METHODOLOGY/ASSUMPTIONS:
Δ NOx NA

Emissions factors were obtained from the EPA's Compilation of Air Pollutant Emissions Factors (AP-42, September, 1998). Environmental staff at the Idaho Transportation Department determined the control efficiency was 0.70.

  • Reduction in PM10 by application of Magnesium Chloride = 0.7073 PM emissions factor * 0.70 * 2,247 VMT = 1,113 kg/day
  • Reduction in PM10 by application of Anti-icing chemical = 0.053 PM emissions factor * 0.70 * 139,598 VMT = 5,179 kg/day

Total PM10 reduction = 1,113 kg/day + 5,179 kg/day = 6,292 kg/day

Δ CO NA
Δ PM10 - 6,292 kg/day
Δ PM2.5 NA
Δ Total - 6,292 kg/day
(6.93 tpd)
Costs
Project life: 8 yrs Interest rate: 7%
  CMAQ NON-CMAQ TOTAL METHODOLOGY/ASSUMPTIONS:
Capital $152,889 $12,111 $165,000

The project life was determined by the average life of similar equipment. Days of Activity per year = 200 days per year for Magnesium Chloride and 90 days per year for the anti-icing chemicals

Adm/oper $0 $0 $0
Total $152,889 $12,111 $165,000
Total annualized public cost $29,865
Annual revenues None
Net public cost $165,000
Annual private cost NA
Total net cost $165,000

NOTE: Costs include purchase of the trucks, but does not account for on-going operating costs. Assumption of 200 days of application per year sounds high, but is presumably accurate for the local area.

Updated: 6/28/2017
HEP Home Planning Environment Real Estate
Federal Highway Administration | 1200 New Jersey Avenue, SE | Washington, DC 20590 | 202-366-4000
Turner-Fairbank Highway Research Center | 6300 Georgetown Pike | McLean, VA | 22101