U.S. Department of Transportation
Federal Highway Administration
1200 New Jersey Avenue, SE
Washington, DC 20590
202-366-4000


Skip to content
Facebook iconYouTube iconTwitter iconFlickr iconLinkedInInstagram

Federal Highway Administration Research and Technology
Coordinating, Developing, and Delivering Highway Transportation Innovations

Report
This report is an archived publication and may contain dated technical, contact, and link information
Publication Number: FHWA-HRT-07-039
Date: July 2007
<< Previous ContentsNext >>

Chapter 4 - Corrosion Resistant Alloys for Reinforced Concrete

4. EXPERIMENTAL RESULTS AND DISCUSSION

SIMULATED PORE WATER PH DATA FOR AST-1 AND AST-2

Figure 4.1 plots simulated pore water pH versus time for representative AST-1 and AST-2A experiments. Both sets of data approximately superimpose and show a progressive pH decrease with time from an initial value of 13.28 (AST-1) to a final of 13.12. This reflects a contribution of the common ion effect from addition of chlorides and possibly carbonation, the former being evidenced by the step decrease in pH of the AST-1 solution pH at 28 and 56 days (times at which [Cl-] was increased). This pH decrease is not a significant concern for interpretation of the AST- 1 data, but it is important tant for projection of [Cl-th], since this parameter is a function of Cl- to OH-ratio.

Figure 4.1. Graph. Change in pH and [Cl-] as a function of time for AST-1 and AST-2 experiments.

The data show a gradual p H decrease from about 13.28 to 13.1 over the 80 day exposure during which chloride concentration was increased.

AST-1

Table 4.1 lists the average PR for straight bar specimens of each alloy during the successive 28-day exposures of the six individual AST-1 runs. Likewise, table 4.2 shows the average PR for the individual straight bar specimens of each alloy. Figure 4.2 plots polarization resistance, PR, versus exposure time for straight, as-received bars and illustrates the range of behavior and data scatter that characterized these measurements. Thus, PR data scatter was relatively large (in excess of one order of magnitude) for the most resistant alloy represented here (316.18 as well as for 2205); but the overall trend was generally constant with time. Data scatter was less and conformed to a downward trend with time for MMFX-II™, 3Cr12, and black bars. This probably reflects localized passive film instabilities in the case of 3Cr12; however, these were probably less of a factor, if a factor at all, for the actively corroding MMFX-II™ and black bars for which progressive oxygen concentration polarization was controlling. The decrease in PR with time, where this occurred, reflects an effect of time per se rather than increased [Cl-], since the decay showed no abrupt changes at the times of Cl- additions.

Table 4.1. Average polarization resistance for each alloy during each 28-day period of six individual AST-1 runs.
 Average Polarization Resistance (Run 1), ohm/cm2  
 316(18)2201PMMFXMMFX-AMMFX-DBB  
3% NaCl1.89E+066.59E+045.43E+045.43E+043.83E+042.16E+03  
9% NaCl1.71E+065.71E+041.98E+042.78E+042.13E+041.26E+03  
15% NaCl2.83E+063.07E+041.39E+041.29E+041.73E+048.15E+02  
         
 Average Polarization Resistance (Run 2), Ohm/cm2 
 316(18)22012201PMMFXMMFX-AMMFX-DBB 
3% NaCl3.19E+065.78E+048.13E+045.82E+047.30E+043.75E+042.71E+03 
9% NaCl4.18E+065.42E+045.85E+042.55E+043.04E+043.03E+041.68E+03 
15% NaCl6.60E+064.98E+041.49E+051.29E+041.41E+042.92E+048.86E+02 
         
 Average Polarization Resistance (Run 3), ohm/cm2
 316(18)220522012201PMMFXMMFX-AMMFX-DBB
3% NaCl3.97E+066.83E+045.91E+045.30E+045.87E+043.69E+043.06E+042.37E+03
9% NaCl2.84E+067.37E+047.01E+044.84E+042.01E+041.31E+041.66E+041.19E+03
15% NaCl3.57E+066.85E+044.75E+043.08E+041.15E+048.18E+031.00E+049.00E+02
         
 Average Polarization Resistance (Run 4), ohm/cm2 
 316(16)316(16)3Cr123Cr12StelaxStelax-AStelax-D 
3% NaCl1.54E+062.61E+063.75E+044.57E+042.40E+044.45E+042.94E+04 
9% NaCl2.02E+061.52E+062.78E+042.52E+041.05E+041.76E+047.18E+03 
15% NaCl1.65E+062.22E+061.19E+041.31E+049.76E+031.81E+044.71E+03 
         
 Average Polarization Resistance (Run 5), ohm/cm2
 316(16)3Cr12StelaxStelax-AStelax-DSMISMI-ASMI-D
3% NaCl1.50E+063.59E+049.51E+045.72E+042.58E+043.06E+052.91E+051.65E+05
9% NaCl2.24E+062.95E+045.46E+045.80E+041.26E+043.03E+053.38E+051.32E+04
15% NaCl6.88E+051.83E+045.74E+043.63E+041.16E+041.78E+051.77E+051.23E+04
         
 Average Polarization Resistance (Run 6), ohm/cm2  
 SMISMI-ASMI-DSMISMI-ASMI-D  
3% NaCl6.09E+054.59E+057.45E+047.83E+053.59E+058.49E+04  
9% NaCl4.58E+054.09E+052.26E+045.63E+054.52E+051.37E+04  
15% NaCl2.87E+054.14E+051.45E+041.59E+056.72E+051.26E+04  
Table 4.2. Polarization resistance for each alloy averaged over the six individual AST-1 runs.
 Average Polarization Resistance (all runs), ohm/cm2
 316(18)316(16)220522012201PMMFXMMFX-AMMFX-D
3% NaCl3.E+062.E+067.E+046.E+047.E+046.E+045.E+044.E+04
9% NaCl3.E+062.E+067.E+046.E+045.E+042.E+042.E+042.E+04
15% NaCl4.E+062.E+067.E+044.E+047.E+041.E+041.E+042.E+04
 3Cr12BBStelaxStelax-AStelax-DSMISMI-ASMI-D
3% NaCl4.E+042.E+035.E+045.E+042.E+046.E+054.E+051.E+05
9% NaCl3.E+041.E+033.E+043.E+041.E+044.E+054.E+052.E+04
15% NaCl1.E+049.E+024.E+042.E+047.E+032.E+054.E+051.E+04

Figure 4.2. Graph. Plot of polarization resistance versus exposure time for representative alloys during different AST-1 runs (numbers in parentheses).

Graph. Plot of polarization resistance versus exposure time for representative alloys during different A S T hyphen 1 runs, numbers in parentheses.

Figure 4.3 reproduces the 2205, MMFX-II™, 3Cr12, and black bar data from figure 4.2 but with results for 2201 added. The more expanded PR scale allows these results to be viewed in greater detail. This shows that PR for 2205, 2201, MMFX-II™, and 3Cr12 were in the range 104 to 105 Ω.cm2, with 2205 occupying the upper bound, MMFX-II™ ad 3Cr12 the lower, and 2201 intermediate. The black bar data, on the other hand, are in the range 103 to 104 Ω.cm2. As noted above, PR for MMFX-II™, 3Cr12, and black bar decreased with exposure time, whereas values for 2205 tended to remain constant. The 2201 data are intermediate in that these exhibit a slight downward trend during the third phase of the exposure. The data in each case are from three different runs; and it was concluded from the reproducibility between these for the different rebar types that any run-to-run variations were within the range of inherent data scatter.

Figure 4.3. Graph. Plot of polarization resistance versus exposure time for intermediate performing alloys and black bars during different AST-1 (number in parentheses after each alloy designation indicates different AST-1 runs.

The alloys that were tested were 3 C R 1 2, M M F X hyphen I I superscript trade mark, and 2205.

Figure 4.4 plots PR versus exposure time for 2201 stainless steel specimens with different surface preparations, including as-received (see table 3.1), steel shot (Fe) blasted, stainless steel (SS) shot blasted, and silica sand blasted. The data referenced as “Jensen Beach” pertain to 2201 reinforcement that was acquired from a bridge construction site in Jensen Beach, FL, and was from the same heat as the other 2201 specimens; but the Jensen Beach bars had been silica sand surface blasted. These bars experienced about 6 weeks of uncovered atmospheric exposure approximately 1 km inland prior to being acquired. The sand blasted specimens exhibit PR values that approach being an order of magnitude greater than the as-received and metal blasted ones but with a trend where the former merged with the latter as the 84-day exposure progressed.

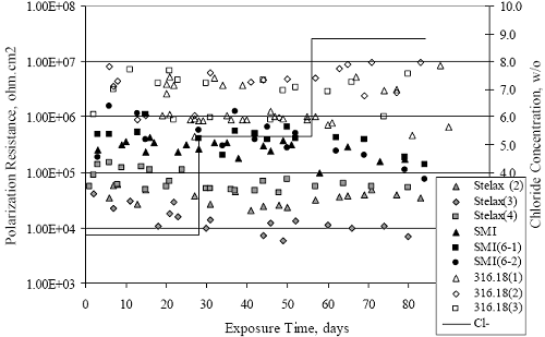
Figure 4.5 plots PR versus exposure time for the two 316 stainless steel clad bars (Stelax and SMI), in comparison to data for solid 316 stainless steel bars. The results show that PR for the SMI bars averaged about one order of magnitude below that for the solid SS bars but with some data overlap. Data for the Stelax are about two orders of magnitude below those for the solid bars. Differences in surface condition are thought to be responsible for these variations. Likewise, figure 4.6 shows this same clad bar data along with results for the abraded (A) and damaged (D) surface conditions. Little difference is apparent between intact and abraded bars; but the damaged clad resulted in the lowest PR values, which were generally the same for both clad bar types.

Figure 4.4. Graph. Plot of polarization resistance versus exposure time for 2201 stainless steel AST-1 specimens with different surface preparation conditions.

Expression describing the ranking of reinforcement types based on the time required for the potential of macro-cell slab specimens to shift to minus 280 millivolts subscript S C E, or more negative; ranked from best to worst. Type 316 stainless steel is approximately equal to Stelax, which is greater than reinforcement type 3 C R 1 2, which is greater than reinforcement type 2 2 0 1, which is greater than reinforcement type M M F X hyphen I I, which is greater than black bar reinforcement type.

Figure 4.5. Graph. Plot of polarization resistance versus exposure time for clad stainless steel AST-1 specimens.

Plot of polarization resistance versus exposure time for clad stainless steel AST-1 specimens

Figure 4.6. Graph. Plot of polarization resistance versus exposure time for clad stainless steel AST-1 specimens in the intact, abraded (A), and damaged (D) conditions.

Polarization resistance for S M I and S M I, A, bars is about one order of magnitude higher than for the comparable Stelax bars, whereas polarization resistance is lowest and about the same for the D bars.

Figure 4.7 plots PR for straight versus bent solid bars. If both specimen types had the same corrosion rate, then PR for each should be the same and the data lay along the 1:1 line. In general, such a correlation is apparent but with some displacement to higher PR (lower corrosion rate) for the bent bars. The reason for this is unclear. Likewise, figure 4.8 shows a similar plot for the two types of clad bars. Here also, the data track has a 1:1 correlation but with more scatter than for the solid bars. Consistent with figure 4.6, the undamaged SMI bars exhibit PRs about an order of magnitude greater than for the Stelax ones. Also, damage apparently had only a modest effect on PR of Stelax bars but reduced PR for SMI bars to the same range as for the damaged Stelax.

Table 4.3 lists the average corrosion rate for runs 1 through 4 (weight loss determinations were not made for runs 5 and 6) calculated from weight loss for specimens of each alloy (equation 3.3) at the end of the indicated 28-day period. Likewise, table 4.4 shows the average corrosion rate for each alloy averaged over the different runs in cases where the same alloy was used in different runs. Figure 4.9 shows a comparison between these corrosion rates as calculated from weight loss and from PR (equation 3.2). Data for the intermediate performers (3Cr12, MMFX-II™, 2201, and 2205) generally track the 1:1 trend; however, the PR based corrosion rate for black bars exceeds that from weight loss with the opposite trend being apparent for 316, both by almost an order of magnitude. The B value for 316 would have to increase to 0.40 V and the black bar decrease to 0.008 V, both of which seem unrealistic, to bring these two data sets to the 1:1 line. A possible explanation for data displacement from the 1:1 line is that PR in the present experiments reflects corrosion rate during the submerged portion of the wet-dry cycle, whereas weight loss averaged attack during both periods. Reconciling the two sets of data on this basis requires then that corrosion rate of the 316 was greater during the nonsubmerged phase and black bar greater during the submerged phase.

Figure 4.7. Graph. Plot of polarization resistance for straight versus bent solid bars.

The data generally fall along a 1 to 1 correlation line.

Figure 4.8. Graph. Plot of polarization resistance for straight versus bent clad bars.

The data generally fall along a 1 to 1 correlation line but with data for the damaged S M I bars having the highest values.

Table 4.3. Corrosion rate calculated from weight loss of individual specimens of each alloy at the end of the indicated NaCl exposure for the indicated run.
 Corrosion Rate (Run 1), mmpy
 316(18)22012201PMMFXMMFX-AMMFX-DBB 
3% NaCl0.0040.0050.0060.0130.0090.0090.070 
9% NaCl0.0010.0070.0080.0150.0100.0160.063 
15% NaCl0.0010.004 0.003 0.0170.0070.0120.058 
         
 Corrosion Rate (Run 2), mmpy
mm/yr316(18) 220522012201PMMFXMMFX-AMMFX-D 
3% NaCl0.0050.0130.0200.080.0130.0080.001 
9% NaCl0.0020.0070.0100.050.0110.0070.009 
15% NaCl0.0010.0040.0080.040.0150.0120.012 
         
 Corrosion Rate (Run 3), mmpy
mm/yr316(18)220522012201PMMFXMMFX-AMMFX-DBB
3% NaCl0.0030.0060.0030.0120.0080.0160.0090.057
9% NaCl0.0010.0050.0070.0060.0110.0170.0130.052
15% NaCl0.0010.0040.0050.0040.0130.0140.0130.040
         
 Corrosion Rate (Run 4), mmpy
mm/yr316(16)316(16)3Cr123Cr12    
3% NaCl0.0010.0010.0260.025    
9% NaCl0.0020.0010.0200.018    
15% NaCl0.0010.0010.0240.019    
 
Table 4.4. Average corrosion rate calculated from weight loss for each alloy during four individual AST-1 runs.
 Corrosion Rate, mmpy  
 316(18)316(16)220522012201P
3% NaCl0.0040.0010.0080.0090.009
9% NaCl0.0010.0010.0050.0080.006
15% NaCl0.0010.0010.0040.0050.004
 MMFXMMFX-AMMFX-D3Cr12BB
3% NaCl0.0110.0110.0060.0250.070
9% NaCl0.0120.0110.0130.0190.057
15% NaCl0.0150.0110.0120.0210.048

1 mA/m2 = 0.1 µA/cm2 = 0.0011 mm/year = 1.15 µm/year = 0.043 mils/year.

Figure 4.9. Graph. Comparison of corrosion rate measured by weight loss and calculated from polarization resistance for different solid bars.

For bars with relatively low corrosion rate (316 stainless steel), values determined by weight loss were about one order of magnitude higher than those from polarization resistance. For bars with high corrosion rate , the black bars, the trend was opposite.

Figures 4.10 through 4.16 show photographs of representative specimens subsequent to testing. In each case, testing of the uppermost specimen in the photographs was terminated after 28 days, the middle one after 56 days, and the one at the bottom after 84 days or slightly later. With the exception of the 316 reinforcement, all three specimens of which appear pristine, there was a general trend whereby specimens appeared more corroded with successive 28-day exposures. The visual appearances generally conform to the PR and weight loss results in that bars with more corrosion products typically exhibited lower PR and higher weight loss.

1 mA/m2 = 0.1 µA/cm2 = 0.0011 mm/year = 1.15 µm/year = 0.043 mils/year.

Figure 4.10. Photo. Type 316 SS specimens subsequent to AST-1 testing.

The photo shows the pristine condition of three bars.

Figure 4.11. Photo. Type 2205 SS specimens subsequent to AST-1 testing.

The three bars in the photo show that some corrosion products, or rusting, are apparent, the extent of which increases with increasing exposure time.

Figure 4.12. Photo. Type 2201 SS specimens subsequent to AST-1 testing.

The three bars in the photo show that corrosion products, or rusting, are apparent, the extent of which increases with increasing exposure time.

Figure 4.13. Photo. MMFX-II™ specimens subsequent to AST-1 testing.

The photo of the three bars show that the extent of rusting is relatively modest and approximately the same for the different times except for more corrosion products at one bar end for the longer exposures.

Figure 4.14. Photo. MMFX-II™ abraded specimens subsequent to AST-1 testing.

The three bars in the photo show that more corrosion products are apparent at the abrasion sites than elsewhere along length of the bars.

Figure 4.15. Photo. MMFX-II™ damaged specimens subsequent to AST-1 testing.

The three bars show that corrosion products are more apparent at the damage locations and at the bar ends than elsewhere along the length.

Figure 4.16. Photo. Black bar specimens subsequent to AST-1 testing.

The three bars in the photo show that corrosion products are uniformly apparent along the length of the bars and are slightly more abundant for the longest exposure time.

AST-2A

Figure 4.17 plots current density to maintain a potential of +100 mVSCE versus [Cl-] for an initial experiment (run number 1, table 3.4) that involved one specimen of each alloy except MMFX-II™ with various surface conditions included where applicable. Only the initial time scale is shown here so that activation time of bars with relatively poor and intermediate corrosion resistance could be more accurately discerned. Initially, current density was several µA or less for all bar types. Corrosion was defined as having initiated when current density reached 10 µA/cm2, and the [Cl-] at which this occurred is indicated from the right Y axis. This reveals that the black bar specimen activated in response to the initial Cl- increment (0.30 w/o), followed by the 3Cr12 at 0.60 w/o Cl-, various MMFX-II™ specimens in the range 0.60-1.30 w/o Cl-, and 2201 at 1.30 w/o Cl-. The 2205 and 316 specimens exhibited current densities below the defined activation threshold (10 µA/cm2) for all Cl- increments shown here. Similarly, figure 4.18 plots data from this same experiment at longer times and higher [Cl-], where activation for some of the more corrosion resistant bars occurred. While some data are obscured, it can be seen that the single damaged Stelax bar activated at 2.12 w/o Cl- and the damaged SMI at 6.37 w/o Cl-.

Figure 4.17. Graph. Plot of current density versus [Cl-] such that [Cl-th] for alloys with intermediate corrosion resistance is revealed (specimens with B in the designation were bent).

Data for several abraded and damaged bars are included. The data generally show that the critical chloride concentration threshold increased for bar types in the order B B, 3 C R 1 2, M M F X hyphen I I superscript trade mark, 2201, (2205, Stelax, S M I, 316).

Figure 4.18. Graph. Plot of current density versus [Cl-] such that [Cl-th] for alloys with relatively high corrosion resistance is revealed.

While some current density resulted for Stelax D, S M I, and S M I D, the magnitude of this was below the 10 microamps per square centimeter threshold. Corrosion did not initiate for 2205 and 316 S S.

Performance was mixed for the other clad bar specimens with an abraded and an undamaged SMI specimen activating at 5.16 and 6.37 w/o Cl-, respectively. Post exposure observations indicated that in the former case the abrasion penetrated the cladding; and in the latter, attack initiated underneath the end sealing epoxy. Corrosion also occurred underneath the epoxy for the bar designated as Stelax B (bent), which also activated at 6.37 w/o Cl-, and at cladding breaks caused by bending. Figure 4.19 provides extends the scale from figure 4.18 to longer times so that data for the best performers can be viewed in greater detail. Thus, maximum current density for the two 316, Stelax, and SMI bars was less than one µA/cm2 except in cases where there was intentional damage (D) or where the end sealing of the clad bars failed. Data for the 2205 bar beyond about 850 hours was cyclic with a maximum current density of about five µA/cm2. As such, performance of the latter alloy in AST-2A was considerably better than in AST-1. Thresholds for the more corrosion resistant bars may have been higher if pH had been maintained constant (see figure 4.1). The experiment was terminated after approximately 1,150 hours because of a power shutdown mandated in September 2004 by Hurricane Frances.

Figure 4.19. Graph. Expanded scale plot of current density versus [Cl-] for alloys with relatively high corrosion resistance is revealed.

This graph is related to figure 4.18 and shows the magnitude of current density for the different bars in greater detail. The upper limit on the current density scale is 1 microamp per square centimeter.

Second and third AST-2A experiments were performed for the purpose of better defining [Cl-th] for black bar, 3Cr12, MMFX-II™ and 2201. This involved concurrently testing 10 bars of the individual alloys and using smaller Cl- increments than for the initial run. Specimens were preconditioned in the simulated pore water at +100 mVSCE for 5 days before the first Cl- addition. Testing of individual specimens was in some cases terminated once current density exceeded 10 µA/cm2. Figures 4.20 and 4.21 show plots of current density versus exposure time for black and 3Cr12 specimens, the latter with a more expanded vertical axis for better resolution. Likewise, figure 4.22 presents results for MMFX-II™ and 2201. Because of data clutter and the fact that [Clth‾] was reached earlier for MMFX-II™ specimens, figure 4.23 shows data for the latter specimens only. The above plots exhibit noise as a consequent of repetitive passive film breakdown and repair. Also, apparent is the arbitrariness of the 10 µA/cm2 criterion. Irrespective of this, figure 4.24 presents a cumulative distribution plot of [ Clth‾] for each of the four alloys.

AST-2B

Open Circuit Potential

In general, free corrosion potential for specimens in these tests decreased during the initial 400 seconds of exposure by on average about 100 mV and decayed more gradually or remained constant thereafter. No definitive relationship between this potential and [Cl‾] was apparent; however, the decay at a given [Cl‾] was generally reproducible.

Figure 4.20. Graph. Plot of current density versus exposure time for 10 specimens each of black bar and 3Cr12. Incremental Cl‾ additions are also shown.

Generally, current was apparent first for black bar specimens, albeit of relatively low magnitude on the broad current density scale, and subsequently but with greater values for the 3 C R 1 2 specimens.

Figure 4.21. Graph. Expanded scale view of the current density versus exposure time data from figure 4.20.

The graph shows the time and chloride concentration at which corrosion of individual specimens initiated.

Figure 4.22. Graph. Plot of current density versus time for a series of 10 MMFX and 2201 specimens polarized to +100 mVSCE. Incremental Cl‾ additions are also shown.

The chloride concentration is plotted versus time, thus showing both the time and chloride concentration at which corrosion of individual specimens initiated.

Figure 4.23. Graph. Plot of current density versus time for replicate MMFX-II™ specimens.

Data are for the ten MMFX-II™ specimens from figure 4.22, thus providing a more definitive indication of the time and chloride concentration at which corrosion of individual bars initiated.

Figure 4.24. Graph. Distribution of [ Clth‾ ] for four alloys based upon the 10 µA/cm2 current density criterion.

This graph plots the cumulative number of the ten black bar, 3CR12, MMFX-II™, and 2201 specimens for which current density equaled 10 microamps per square centimeter versus the critical chloride concentration threshold indicating that the critical chloride concentration threshold increased progressively for the bar types as listed above.

Scan Rate

Figure 4.25 presents cyclic potentiodynamic polarization (CPP) scans for cross section polished MMFX-II™ specimens in saturated Ca(OH)2 without Cl‾ showing that current density at a given potential increased with increasing scan rate. Similar to the potentiostatic procedure (AST-2A), the critical pitting potential, Epit, was defined as the potential corresponding to a current density of 10 µA/cm2. The scans illustrate the arbitrariness of this definition, however, in that a small change in this criterion could alter Epit by as much as several hundred millivolts.

Figure 4.25. Graph. Anodic CPP scans for as-received MMFX-II™ specimens in saturated Ca(OH)2 without Cl‾ at scan rates of 0.33, 1.00, and 5.00 mV/s. Arrows indicate direction of forward and reverse scans.

The forward anodic scans show a passive plateau until the oxygen potential is reached, and the return scans show reduced current density compared to the forward.

Surface Condition

Figure 4.26 presents CPP scans for MMFX-II™ specimens in saturated Ca(OH)2 with 0.50 w/o Cl‾ and shows that Epit for the specimen with the as-received surface finish was more negative than for the 600 grit polished ones by about 200 mV or more based on the 10 µA/cm2 criterion. A similar trend was disclosed for 2201. Surface effects were not studied in the case of the other bars. This result by itself indicates that bars with as-rolled mill scale have inferior pitting resistance to ones where this is removed, as is generally known; however, surface cleaning methods such as pickling and blasting negatively affect cost and from this standpoint render corrosion resistant reinforcement less competitive.

Figure 4.26. Graph. Anodic CPP scans on as-received MMFX-II™ specimens with three surface conditions in saturated Ca(OH)2 without Cl‾ at 1.00 mV/s. Arrows indicate direction of forward and reverse scans.

The specimens were circumferential polished and cross section polished. The forward anodic scans show a passive plateau until the oxygen .potential is reached, and the return scans show reduced current density compared to the forward. Passive current density for the as-received specimen is higher than for polished ones.

Critical Pitting Potential

From CPP scans performed on 3Cr12, MMFX-II™, 2201, and 316.16, Epit was determined as a function of [Cl‾] with results being as shown in figure 4.27. This reveals that, for the bar types represented here, Epit for 3Cr12 is the most active and for 316.16 the most noble with the average for MMFX-II™ and 2201 being essentially the same. That this latter finding does not agree with results from AST-2A (figure 4.24) may have resulted because of the sensitive dependence of Epit on [Cl‾] in the 0-1.0 w/o Cl‾ range in saturated Ca(OH)2 (pH ~ 12.45) and the fact that the potentiostatic tests were in synthetic pore solution (pH ~ 13.2).

CORRELATIONS BETWEEN DIFFERENT SHORT-TERM TEST RESULTS

The Pitting Resistance Equivalent Number, PREN (alternatively, PRE), as defined by the expression,

Expression describing the corrosion resistance of a stainless steel in terms of its composition. The Pitting Resistance Equivalent Number, or P R E N, equals weight percent of Chromium plus the product of 3.3 times the weight percent of Molybdenum plus the product of x times the weight percent of Nitrogen. The value of x is commonly chosen as 16.
(4.1)

(w/o is weight percent of the indicated element and x is commonly chosen as 16), is widely employed for selection of stainless steels in applications where corrosion by pitting is a concern. PREN values for the reinforcements employed in the present study are listed in table 3.1. Polarization resistance (PR), on the other hand, is an electrochemical parameter that is inversely

Figure 4.27. Graph. Critical pitting potential as a function of [Cl‾] for four bar types.

The plot shows 316.16, 3CR12, MMFX-II™, and 2201 specimens. In all cases, critical potential decreased with increasing chloride concentration, but the trend is less pronounced for bar type 316.16.

proportional to uniform corrosion rate. An attempt was made to correlate the AST-1 PR results with the respective PREN for the different alloys. To this end, figure 4.28 plots PR versus PREN for the relevant alloys. The results reveal almost two orders of magnitude difference in PR between 2201 and 316.18 despite the fact that the PREN for each is about the same. Also, 2205 has the highest PREN, but its PR is comparable to that for 2201 and is also well below that of 316.18. These differences may be a consequence of the 316.18 having been pickled, whereas 2201 and 2205 were tested in the as-rolled condition (MMFX-II™ and black bar also were tested as-rolled). On the other hand, PR of 2201 specimens with various surface treatments (AST-1 tests) did not vary greatly from that of the as-received material (figure 4.4). Also, corrosion of the 2201 and 2205 specimens appeared to be uniform in the AST-1 exposures rather than by pitting (see figures 4.11 and 4.12); and this being the case, a pitting index (PREN) may not apply. An added contributing factor to the lack of correlation may be that the PREN parameter is empirical and was established based upon exposure in acidic and marine environments rather than alkaline ones. Nonetheless, a trend of increasing PR with increasing PREN is apparent if the 316.18 datum is ignored.

Figure 4.28. Graph. Plot of polarization resistance (AST-1) versus PREN for the test reinforcements.

The resulting data indicate a lack of correlation between the two parameters.

Figure 4.29 shows a plot of average PR (AST-1) versus [ Clth‾ ] (AST-2A) for solid bars and reveals a trend of increasing threshold with increasing PR for alloys of low and intermediate corrosion resistance with an apparent relatively abrupt transition in [Clth‾] from relatively low to high at a PR near 6·104 Ω·cm2. Again, the distinction in performance of 2205 in these two tests is apparent in that this alloy exhibited a relatively high [Clth‾]; but PR was intermediate and in the same range as the 2201 and MMFX-II™ reinforcements. This may reflect the fact that these two parameters (PR and [Clth‾]) were measured under different exposure conditions and that they represent different aspects of bar response (uniform corrosion rate for the former and the threshold condition for passive film breakdown for the latter). It can be reasoned also that pH of the residual, high [Cl‾] moisture on AST-1 bars during the periods of atmospheric exposure was reduced and that this affected behavior during the submerged periods. If this was the case, then PR values for the bar types other than 316 are indicative of postactivation corrosion, whereas for 316 [Clth‾] reflects a criterion for active corrosion initiation.

Figure 4.29. Graph. Plot of polarization resistance (AST-1) versus [Clth‾] (AST-2A).

The data show a pitting resistance threshold of approximately 8 times?10 to the power of 4 ohms per square centimeter at which the critical chloride concentration threshold transitions from about 1 weight percent chloride concentration to greater than 5 weight percent.

Figure 4.30 plots [Clth‾] (AST-2A) versus PREN and again shows lack of a consistent trend by the better performers to the extent that data are available. While the results indicate a transition of [Clth‾] from low to high at about PREN 25, additional tests on other alloys are required to confirm that this constitutes a true performance demarcation.

The [Cl‾] corresponding to an Epit of +100 mVSCE from AST-2B experiments was compared with the [Clth‾] determinations for the AST-2A ones. Thus, [Clth‾] at this potential for 3Cr12 in AST-1 was estimated from figure 4.27 as 0.25 w/o for MMFX-II™ and 0.30 w/o for 2201. These values are less than those from AST-2A (0.9 w/o for MMFX-II™ and 2.0 w/o for 2201, see above); however, this is not unexpected given that pH of the electrolyte was lower in AST-2B than AST-2A (saturated Ca(OH)2 compared to synthetic pore solution). Also, the Epit data are based on relatively few data points; and these fall in a range where Epit was relatively sensitive to [Cl‾].

RELATING [Clth‾ ] (AST-2A) TO CHLORIDE THRESHOLD CONCENTRATIONS IN CONCRETE

Relating the presently determined [Clth‾] values from the AST-2A experiments to Cl‾ thresholds in actual concrete, CT, is difficult since, first, the free Cl‾ concentration in the cement pore water, [Cl‾]f, is not a simple function of CT and, second, CT depends upon numerous factors including water/cement ratio, cement content and composition, exposure conditions, and others. Nonetheless, Li and Sagüés18 summarized [Cl‾]f data for black bar from the literature, most of which were determined by pore water expression (PWE) using water saturated cement pastes, mortars, and concretes, and correlated these with the corresponding CT values that were reported.

Figure 4.30. Graph. Plot of [Clth‾ ] (AST-2A) versus PREN.

The data for the various alloys show a lack of correlation between the two parameters.

In the present analysis, it was assumed that the [Clth‾] values determined from the AST-2A experiments are comparable with the [Cl‾]f values summarized by Li and Sagüés. On this basis, figure 4.31 shows a plot of [Clth‾] (AST-2A) versus the corresponding threshold projected for concrete. Here, the two curves are the upper and lower limits of the literature [Cl‾]f – CT data, and the [Clth‾] are plotted as the midpoints of the CT extremes. Also, is reported as molarity, M, since the PWE data employed this unit of measure. Table 4.5 lists the values for [Clth‾] and CT that are plotted in figure 4.31. Such an analysis does not, of course, constitute an explicit [Clth‾] – CT correlation since the values for the latter parameter are inferred based upon a trend of historically reported results.

Table 4.5. Listing of projected CT values for the corresponding [ Clth‾ ] from AST-2A.
Reinforcement[Clth‾ ] , MAverage CT from Literature, weight percent cement
BB0.080.54
3Cr120.150.80
MMFX-II™0.271.10
22010.351.30

Figure 4.31. Graph. Plot of [Clth‾ ] (AST-2A) versus the corresponding threshold projected from literature data for pastes, mortars, and concrete.

The present data are plotted at approximately the average of the literature values, and a direct proportionality between the two is apparent.

CONCRETE SPECIMENS

General

Data from potential measurements and, for some specimen types, macro-cell current density (calculated from voltage drop across a 10 Ω resistor between the two rebar mats) were evaluated as a function of exposure time as indicators of, first, the onset of corrosion and, second, corrosion rate subsequent to activation. Not all corrosion resistant reinforcement types have yet been investigated because of acquisition problems during the initial two project years and resultant delays in specimen fabrication and curing. Findings for each of the specimen types for which data are available are presented and discussed below.

Simulated Deck Slab (SDS) Specimens

General

The data for this specimen type must be qualified because no isolation of the reinforcement where it exited the concrete, other than the epoxy coating on the side concrete surfaces, was provided. In many cases, corrosion was apparent at the steel-concrete exterior interface; and this could have affected both potential and macro-cell current. Besides the three specimen sets mentioned earlier, a fourth set has been prepared with heat shrink tubing around the bars where these emerge from the concrete to determine the extent to which this lack of isolation affected performance.

Black Bar Slabs

Figures 4.32 and 4.33 show plots of potential and macro-cell current density as a function of exposure time for the standard (no simulated crack) black bar slabs. Figure 4.32 indicates that, according to the –280 mVSCE criterion, the STD1 bars (w/c 0.50) became active within weeks of initiating the Cl‾ exposure. Also, corrosion has activated on bars in two of the three STD2 (w/c 0.41) slabs; however, the timing of this is not definitive in that, while potential for the former two specimens tended to more negative values between 100 and 150 days, this subsequently moderated with potential varying in the -200 to -300 mVSCE range to about 450 days. Subsequently, a more negative trend with time reoccurred. The macrocell current density data (Figure 4.32) correlate with the potential data in that high current density corresponds to relatively negative potential.

Figures 4.34 and 4.35 show potential and macro-cell current density data for black bar specimens with and without a simulated crack. The data indicate that potential was more negative and current density higher initially for the cracked specimens compared to the uncracked ones but with the data merging at longer times, which is consistent with chlorides having immediate access, or nearly so, to steel in the cracked concrete case. However, as chlorides migrated into the uncracked concrete specimens by diffusion and became more concentrated at the steel depth, distinctions between the two data sets moderated.

Typically, potential tended to be more negative and macro-cell current density greater when

Figure 4.32. Graph. Plot of potential versus exposure time for STD1 and STD2 concrete specimens with black bar reinforcement.

The graph shows that potential progressively decreased to about minus 550 millivolts subscript SCE, the effect being more pronounced for STD1 specimens.

Figure 4.33. Graph. Plot of macro-cell current density versus exposure time for STD1 and STD2 concrete specimens with black bar reinforcement.

The graph shows that current density increased with time to a plateau value.  This apparent steady-state value was higher for S T D 1 than for S T D 2.

Figure 4.34. Graph. Plot of potential versus exposure time for black bar STD1 concrete specimens with and without a simulated crack.

Initial potential for the simulated crack specimens was more negative than for the sound concrete ones, but the two data sets eventually merged at about minus 550 millivolts subscript S C E.

Figure 4.35. Graph. Plot of macro-cell current density versus exposure time for black bar STD1 concrete specimens with and without a simulated crack.

Initial current density for the simulated crack specimens was higher than for the sound concrete ones, but the two data sets eventually merged.

Figure 4.36. Graph. Plot of potential versus macro-cell current density for black bar reinforced concrete specimens.

The graph shows that, irrespective of specimen type, the data generally superimpose and trend from positive to negative potential and from low to high current density with time.

measurements were made during the wet portion of the ponding cycle compared to the dry, both for black bar and the other reinforcement types discussed below. This accounts for the saw-tooth pattern that is apparent in much of the data. The effect is more apparent in the case of cracked concrete specimens than for the uncracked.

Figure 4.36 plots potential versus macro-cell current density for the black bar specimens. Since potential became more negative and macro-cell current density increased with exposure (figures 4.32 through 4.35), increasing time is from upper left to lower right. The data generally conform to a common band irrespective of w/c or presence of a simulated crack and differences between individual specimens, as viewed in the potential and macro-cell versus time formats (figures 4.32 through 4.35). However, results for the STD2 specimens do not extend as far down the trend band as do the other two specimen sets, consistent with these having maintained more positive potentials and developed less macro-cell current than the STD1 mix specimens. Also, the cracked concrete specimen data occupy only the relatively negative potential—high current density regime, consistent with a relatively high current density having occurred soon after exposure. Such a representation (potential versus current density) facilitates comparison of performance of the different specimen and bar types, as discussed subsequently.

Figure 4.37 shows a typical example of the black bar slabs after 377 days of exposure, in this case for a CCON type specimen. This shows rust surface staining emanating from the simulated crack and occurrence of an actual crack above one of the bars (circled). Several black bar slabs were subsequently autopsied by partially saw cutting and then splitting the concrete along the plane of the upper three bars. Figure 4.38 is a photograph of the trace of the upper side of the top rebars on the sectioned concrete face of specimen number 3-CCON-BB-1 after 566 days of exposure. Likewise, figure 4.39 shows the appearance of the upper bar traces for specimen number 1-STD-BB-3 after 707 days. Prior to sectioning, this specimen had been cored for Cl‾

Figure Figure 4.37. Photo. Exposed surface of specimen number 3-CCON-BB-2 after 377 days.

The photo shows a crack in the concrete.

Figure 4.38. Photo. Traces of the upper three rebars and heavy corrosion products (specimen number 3-CCON-BB-1).

The specimens are shown subsequent to dissection.

Figure 4.39. Photo. Trace of the upper rebars and heavy corrosion products on specimen number 1-STD1-BB-3.

The specimens are shown subsequent to dissection.

analyses, as evidenced by the two core holes that are seen in the figure. In both cases, considerable corrosion product buildup is apparent.

Slabs Reinforced With MMFX-II™ Bars

Figures 4.40 and 4.41 show potential and macro-cell current density results, respectively, for the STD1 MMFX-II™ bar slabs in comparison to the black bar slabs (figures 4.32 and 4.33). The initial potential decrease was similar for both bar types; however, this does not necessarily mean that time-to-corrosion was the same since different reinforcement types may have different potential criterion for activation. Current density, once corrosion initiated, was less for the MMFX-II™ reinforcement compared to black bar by about a factor of five (figure 4.41). This is consistent with potential of the MMFX-II™ bars having remained more positive that the black bars thereby resulting is reduced driving force for current flow. Likewise, figures 4.42 and 4.43 show similar plots for MMFX-II™ reinforced STD2 concrete specimens in comparison to the STD1 ones. These reveal more positive potentials and lower current densities for the lower w/c concrete (STD2) compared to the higher (STD1). Figures 4.44 through 4.55 show potential and macro-cell current density plots for specimens with, respectively, black bar cathode (BCAT), wire brushed bars (WB), top bar crevice or splice (CREV), cracked concrete (CCON), cracked concrete and crevice (CCRV), and cracked concrete and black bar cathode (CCNB). The effect of each of these factors on corrosion initiation and propagation is summarized in figure 4.56 which plots potential versus macro-cell current density for a single specimen in each category. As noted above for the comparable black bar specimens (figure 4.36), the data conform to a common trend, albeit with scatter, with data for the cracked concrete specimens (CCON and CCNB) generally falling in the relatively negative potential—high current density regime (similar to the comparable black bar specimens). Macro-cell current density data for the wire brushed bar specimens are generally less than for the other MMFX-II™ specimen types (see also figure 4.45).

Figure 4.40. Graph. Plot of potential versus exposure time for STD1 concrete specimens with MMFX-II™ reinforcement in comparison to black bar results.

See also figure 4 dash 32. Potential for the former also decreased with time initially but achieved a steady-state value of about minus 400 millivolts subscript S C E.

Figure 4.41. Graph. Plot of macro-cell current density versus exposure time for STD1 concrete specimens with MMFX-II™ reinforcement in comparison to black bar results.

Values for the latter were less than for the former and in the long term were 0.25 to 0.50 microamps per square centimeter.

Figure 4.42. Graph. Plot of potential versus exposure time for STD1 and STD2 concrete specimens with MMFX-II™ reinforcement.

The graph shows that potential decayed for the latter at a lesser rate than for the former and that the apparent steady-state value was more positive.

Figure 4.43. Graph. Plot of macro-cell current density versus exposure time for STD1 and STD2 concrete specimens with MMFX-II™ reinforcement.

The graph shows that current density was less for the latter than for the former.

Figure 4.44. Graph. Plot of potential versus exposure time for STD1 concrete specimens with black bar bottom mat and top mat MMFX-II™ reinforcement compared to ones with all MMFX-II™ bars.

Generally, the trend is the same for the two specimen types.

Figure 4.45. Graph. Plot of macro-cell current density versus exposure time for STD1 concrete specimens with black bar bottom mat and top mat MMFX-II™ reinforcement compared to ones with all MMFX-II™ bars.

Generally, the trend is the same for the two specimen types.

Figure 4.46. Graph. Plot of potential versus exposure time for STD1 concrete specimens with as-received and wire brushed (WB) MMFX-II™ reinforcement.

The graph shows that the long-term, steady-state value for the latter was more negative than for the former by about 50 millivolts.

Figure 4.47. Graph. Plot of macro-cell current density versus exposure time for STD1 concrete specimens with as-received and wire brushed (WB) MMFX-II™ reinforcement.

The graph shows that the long-term, steady-state value for the former was higher than for the latter.

Figure 4.48. Graph. Plot of potential versus exposure time for STD1 concrete specimens with top mat crevice bars (splice) and MMFX-II™ reinforcement compared to ones with normal bar placement.

Generally, the two data sets show the same trend in that they decrease with time to the same steady-state potential range.

Figure 4.49. Graph. Plot of macro-cell current density versus exposure time for STD1 concrete specimens with top mat crevice bars (splice) and MMFX-II™ reinforcement.

Generally, the two data sets show the same trend with a steady-state current density in the 0.25 to 0.50 microamps per square centimeter range.

Figure 4.50. Graph. Plot of potential versus exposure time for STD1 concrete specimens with a simulated concrete crack and MMFX-II™ reinforcement compared to normal (uncracked) specimens.

Potential was relatively negative initially for the former but with the same steady-state value being reached in the long-term.

Figure 4.51. Graph. Plot of macro-cell current density versus exposure time for STD1 concrete specimens with a simulated concrete crack and MMFX-II™ reinforcement compared to normal (uncracked) specimens.

Current density was relatively high initially for the former but with the same steady-state value being reached in the long-term.

Figure 4.52. Graph. Plot of potential versus exposure time for STD1 concrete specimens with a simulated concrete crack and MMFX-II™ reinforcement compared to ones with a simulated crack and top bar crevice (splice).

For both cases, potential was relatively negative initially and increased slightly with time.

Figure 4.53. Graph. Plot of macro-cell current density versus exposure time for STD1 concrete specimens with a simulated concrete crack and MMFX-II™ reinforcement compared to ones with a simulated crack and top bar crevice (splice).

For both cases, current density was relatively high initially and decreased slightly with time.

Figure 4.54. Graph. Plot of potential versus exposure time for STD1 concrete specimens with a simulated concrete crack and MMFX-II™ reinforcement compared to ones with a simulated crack and black bottom bars.

For both cases, potential was relatively negative initially but increased slightly with time. The data exhibit a relatively large cyclic variation that corresponded to the wet to dry cycle.

Figure 4.55. Graph. Plot of macro-cell current density versus exposure time for STD1 concrete specimens with a simulated concrete crack and MMFX-II™ reinforcement compared to ones with a simulated crack and black bar bottom mat.

For both cases, current density was relatively high initially but increased slightly with time. The data exhibit a relatively large cyclic variation that corresponded to the wet to dry cycle.

Figure 4.56. Graph. Plot of potential versus macro-cell current density for MMFX-II™ reinforced specimens.

The graph shows that, irrespective of specimen type, the data generally superimpose and trend from positive to negative potential and from low to high current density with time. More scatter is apparent than for black bar specimens. See figure 4.36.

Figure 4.57 shows a photograph that was taken of the exposed surface of a MMFX-II™ specimen (specimen number 2-BCAT-MMFX-3) during the dry phase of the ponding cycle after 461 days. The surface is rust stained, and the concrete has cracked above one of the three bars. Likewise, Figures 4.58 through 4.65 show the appearance of the upper bar traces for one specimen each of the STD1, STD2, WB, CREV, CCON, BCAT, CCNB, and CCRV configurations. Because specimens were exposed at three different times but autopsied at the same time, the exposure time varied (566 to 707 days). Irrespective of this, a visual comparison of the standard STD1 and CCON black bar (figures 4.39 and 4.38, respectively) and companion MMFX-II™ specimens (figures 4.62 and 4.58, respectively) reveals considerably less corrosion for the latter, consistent with the corresponding current density data as discussed above. The visual extent of the corrosion products (figures 4.58 through 4.65) is generally consistent with magnitude of the long-term current density (higher current density, more corrosion). Bar traces on the autopsied MMFX-II™ BCAT specimen exhibited the greatest amount of corrosion product and had the highest current density at long-term. With the exception of the BCAT specimens, current density of the three specimen set of each type exhibited relatively little scatter.

Figure 4.57. Photo. Top surface of specimen 2-BCAT-MMFX-3 after 461 days of exposure.

The photo shows a concrete crack

Figure 4.58. Photo. Trace of the upper rebars and corrosion products on specimen number 1-STD1-MMFX-2.

The photo shows heavy corrosion products at the ends of one of the three bars.

Figure 4.59. Photo. Trace of the upper rebars and corrosion products on specimen number 1-STD2-MMFX-2.

Heavy corrosion products are apparent along about one-half the length of one bar with small amounts at the ends of the other two bars.

Figure 4.60. Photo. Trace of the upper rebars and corrosion products on specimen number 2-WB-MMFX-1.

Heavy corrosion products are apparent along about one-half the length of one bar with lesser products along the remainder of the length. Small amounts of corrosion products are visible at the ends of the other two bars.

Figure 4.61. Photo. Trace of the upper rebars and corrosion products on specimen number 3-CREV-MMFX-1.

Small amounts of corrosion products are apparent near all bars ends with one area of more extensive products locally on one bar.

Figure 4.62. Photo. Trace of the upper rebars and corrosion products on specimen number 1-CCON-MMFX-1.

Corrosion products are apparent on all three traces near the location of the simulated crack.

Figure 4.63. Photo. Trace of the upper rebars and corrosion products on specimen number 2-BCAT-MMFX-1.

Extensive local corrosion products are apparent on two of the traces and near several of the trace ends.

Figure 4.64. Photo. Trace of the upper rebars and corrosion products on specimen number 2-CCNB-MMFX-1.

Corrosion products are apparent on all three traces near the location of the simulated crack and at several of the trace ends.

Figure 4.65. Photo. Trace of the upper rebars and corrosion products on specimen number 3-CCRV-MMFX-1.

Corrosion products are apparent on all three traces at the location of the simulated crack.
Slabs Reinforced With 3Cr12 Bars

Figures 4.66 through 4.79 present potential and macro-cell current density plots for specimens reinforced with 3Cr12.2 For the standard STD1 specimens (figures 4.66 and 4.67), the corresponding black bar data are shown for comparison; and these reveal that, while the initial potential decay was approximately the same for the two reinforcements, macro-cell current density for the 3Cr12 reinforcement, once corrosion initiated, increased more gradually and to a steady-state value about three times lower than for the black bar specimens. Figure 4.80 shows a plot of potential versus macro-cell current density for specimens reinforced with 3Cr12 that includes representative data for each of the specimen types. As for the black bar and MMFX-II specimens, a common data band is apparent; however, in this case the band is more narrow and largely limited to a potential-current density regime rather than extending from upper left to lower right. The highest current densities occurred for specimens with concrete cracks (CCON and CCRV); however, this occurred also in the case for the black bar cathode (BCAT) specimens.

Photographs of the upper bar traces of autopsied specimens are shown in figures 4.81 through 4.87. These indicate that specimens STD1, STD2, CREV, and BCAT exhibited relatively heavy localized corrosion products on one bar compared to the WB, CCON, and CCRV specimens for which corrosion was relatively light. As for the MMFX-II™ specimens, the appearance of the corrosion products is in general agreement with the long-term current density data (higher current density greater corrosion products).

Figure 4.66. Graph. Plot of potential versus exposure time for STD1 concrete specimens with 3Cr12 reinforcement compared to that for black bar.

The same general trend is apparent for both bar types but with potential for the 3 C R 1 2 bars reaching a long-term, steady state in the minus 400 to minus 500 millivolts subscript S C E potential range.

2 Due to an error during specimen fabrication, six BCAT and no CCNB specimens with this reinforcement were prepared.

Figure 4.67. Graph. Plot of macro-cell current density versus exposure time for STD1 concrete specimens with 3Cr12 reinforcement compared to that for black bar.

The same general trend is apparent for both bar types but with current density for the 3 C R 1 2 bars reaching a long-term, steady state in the 0.25 to 0.50 microamps per square centimeter range.

Figure 4.68. Graph. Plot of potential versus exposure time for STD1 and STD2 concrete specimens with 3Cr12 reinforcement.

While potential for the S T D 1 specimens decayed more rapidly than for the S T D 2 ones, the value for both data sets stabilized in the minus 400 to minus 450 millivolts subscript S C E potential range.

Figure 4.69. Graph. Plot of macro-cell current density versus exposure time for STD1 and STD2 concrete specimens with 3Cr12 reinforcement.

Generally, current density for both specimen types conformed to a common trend where this parameter increased with time initially and exhibited a steady-state value in the 0.25 to 0.50 microamps per square centimeter range.

Figure 4.70. Graph. Plot of potential versus exposure time for STD1 concrete specimens with wire brushed compared to as-received 3Cr12 bars.

Potential for both specimen types conformed to a common trend where this parameter decreased with time initially, but the steady-state value for bars in the as-received condition was in the -400 to minus 450 millivolts subscript S C E range, whereas for the W B specimens this range was minus 350 to minus 450 millivolts subscript S C E.

Figure 4.71. Graph. Plot of macro-cell current density versus exposure time for STD1 concrete specimens with wire brushed compared to as-received 3Cr12 bars.

In both cases, current density increased with time initially but in the long-term was in the range 0.25 to 0.50 microamps per square centimeter for the as-received bars and 0 to 0.25 microamps per square centimeter for the W B ones.

Figure 4.72. Graph. Plot of potential versus exposure time for STD1 concrete specimens with top mat bar crevice (splice) and 3Cr12 reinforcement compared to ones with normal bar placement.

In both cases, potential decreased with increasing time and reached a steady state value in the minus 400 to minus 450 millivolts subscript S C E range.

Figure 4.73. Graph. Plot of macro-cell current density versus exposure time for STD1 concrete specimens with top mat bar crevice (splice) and 3Cr12 reinforcement compared to ones with normal bar placement.

In both cases, current density increased with time initially and reached steady-state values in the 0.20 to 0.50 microamps per square centimeter range.

Figure 4.74. Graph. Plot of potential versus exposure time for STD1 concrete specimens with a simulated concrete crack and 3Cr12 reinforcement compared to uncracked ones.

Potential for the specimens with a simulated crack was initially in the range of minus 360 to minus 475 milivolts subscript S C E but merged in the long term with that for the standard specimen such that steady-state potential was minus 400 to minus 470 millivolts subscript S C E.

Figure 4.75. Graph. Plot of macro-cell current density versus exposure time for STD1 concrete specimens with a simulated concrete crack and 3Cr12 reinforcement compared to uncracked ones.

For the former, current density was initially near 0.50 microamps per square centimeter but decreased with time to an apparent steady-state of 0.1 to 0.25 microamps per square centimeter, whereas for the uncracked specimens current density increased with time and reached a steady state value of 0.25 to 0.50 microamps per square centimeter.

Figure 4.76. Graph. Plot of potential versus exposure time for STD1 concrete specimens with black bar bottom mat and top mat 3Cr12 reinforcement compared to ones with all 3Cr12 bars.

In all cases, potential decreased with time according to a common trend, albeit with relatively large scatter, and reached a steady-state value in the minus 400 to minus 470 millivolts subscript S C E range.

Figure 4.77. Graph. Plot of macro-cell current density versus exposure time for STD1 concrete specimens with black bar bottom mat and top mat 3Cr12 reinforcement compared to ones with all 3Cr12 bars.

In all cases, current density increased with time initially and in all but one case reached a steady-state in the 0.20 to 0.50 microamps per square centimeter range. In the exceptional case, current density became negative after about 450 days, indicating that the black bottom bar(s) had become active.

Figure 4.78. Graph. Plot of potential versus exposure time for STD1 concrete specimens with a simulated concrete crack and 3Cr12 reinforcement compared to cracked ones with a simulated crack and top bar crevice (splice).

Potential for all specimens was initially in the minus 400 to minus 500 millivolts subscript S C E range and increased with time to a steady state of minus 370 to minus 460 millivolts subscript S C E.

Figure 4.79. Graph. Plot of macro-cell current density versus exposure time for STD1 concrete specimens with a simulated concrete crack and 3Cr12 reinforcement compared to cracked ones with a simulated crack and top bar crevice (splice).

Current density was initially 0.10 to 0.80 microamps per square centimeter but decreased with time to a steady state of 0.10 to 0.40 mocroamps per square centimeter. A cyclic trend is apparent to the data which corresponds to the wet to dry ponding cycle.

Figure 4.80. Graph. Plot of potential versus macro-cell current density for 3Cr12 reinforced specimens.

The graph shows that all data conform to a common band, albeit with scatter, that extends from relatively positive potentials and nil current density (initial exposure) to progressively more negative potentials and higher current density as exposure continued.

Figure 4.81. Photo. Trace of the upper rebars and corrosion products on specimen number 1-STD1-3Cr12-1.

The photo shows corrosion products at the bar ends that are particularly heavy in one instance.

Figure 4.82. Photo. Trace of the upper rebars and corrosion products on specimen number 1-STD2-3Cr12-1.

showing much the same appearance as in figure 4.81.

Figure 4.83. Photo. Trace of the upper rebars and corrosion products on specimen number 1-WB-3Cr12-1.

The photo shows corrosion at the ends of the traces.

Figure 4.84. Photo. Trace of the upper rebars and corrosion products on specimen number 1-CREV-3Cr12-1.

The photo shows minimal corrosion products on two traces and heavy corrosion products along the third.

Figure 4.85. Photo. Trace of the upper rebars and corrosion products on specimen number 1-CCON-3Cr12-1.

The photo shows corrosion products at the bar ends and where the simulated crack intersects the trace.

Figure 4.86. Photo. Trace of the upper rebars and corrosion products on specimen number 1-BCAT-3Cr12-1.

The photo shows heavy corrosion products along one bar trace, modest corrosion products along a second, and minimal products on the third.

Figure 4.87. Photo. Trace of the upper rebars and corrosion products on specimen number 1-CCRV-3Cr12-1.

The photo shows corrosion products at four of the six bar ends and at the three locations where the simulated crack intersects each of the three bar traces.
Slabs Reinforced With 2201 Bars

Figures 4.88 through 4.91 show potential and macro-cell current density plots for standard specimens reinforced with 2201. Here, the initial potential decay was more gradual than for the black bar specimens; and current density subsequent to initiation was less by a factor of 2 to 3. Figures 4.92 through 4.103 show plots for the other specimen variables. Figure 4.104 presents potential versus macro-cell current density data for specimens reinforced with 2201 that includes representative data for each of the specimen types. As for the other bar types, all data conform to a common trend but occupy different regimes therein. As such, the upper current densities of the trend band occurred for the crevice specimens (CCON and CCRV), whereas the wire brushed ones were at the lower bound. Some of the black cathode (BCAT) current densities occurred at values below the lower band bound. This apparently reflects the fact that potential remained relatively positive for one of the three specimens (see figure 4.98).

Figures 4.105 through 4.112 show photographs of the upper bar traces of autopsied specimens (one specimen from each group of three) for each of the specimen variables. These indicate that, more so than for the black bar, MMFX-II™, and 3Cr12, corrosion tended to initiate on the bars near the specimen side faces. Unlike the bar types evaluated above, corrosion products were more extensive on the STD2 than STD1 specimen (compare figures 4.105 and 4.106), which is inconsistent with the current density data (figure 4.91). The reason for this is unclear but may be related to the corrosion preferential attack at the bar ends. In addition to the STD2 specimen, products were extensive on at least one bar of the CREV, CCON, and BCAT specimens. Consequently, of the rebar types MMFX-II™, 3Cr12, and 2201, the autopsied CREV and BCAT specimens in each case exhibited heavy corrosion product accumulation on at least one of the three bars.

Figure 4.88. Graph. Plot of potential versus exposure time for STD1 concrete specimens with 2201 reinforcement compared to data for black bar.

Potential decay for the former occurred slower than for the latter, and the steady-state potential that was eventually reached was more positive, approximately minus 300 millivolts subscript S C E compared to minus 450 to minus 550 millivolts subscript S C E.

Figure 4.89. Graph. Plot of macro-cell current density versus exposure time for STD1 concrete specimens with 2201 reinforcement compared to data for black bar.

In both cases, current density increased with exposure time, but the steady-state value for 2201 was about one-half that for black bar, or 0.50 ?A/cm2 compared to 1.0 ?A/cm2.

Figure 4.90. Graph. Plot of potential versus exposure time for STD1 and STD2 concrete specimens with 2201 reinforcement.

Potential decayed more gradually for the S T D 2 specimens, but the steady-state value that was eventually reached was about the same, minus 300 to minus 400 millivolts subscript S C E, except for one S T D 2 specimen for which corrosion had not activated.

Figure 4.91. Graph. Plot of macro-cell current density versus exposure time for STD1 and STD2 concrete specimens with 2201 reinforcement.

In both cases, current density increased with time, but the steady-state value for the S T D 1 specimens was about twice that as for the S T D 2 ones, or 0.50 to 1.0 microamps per square centimeter compared to 0.25 to 0.50 microamps per square centimeter. Current density for the one S T D 2 specimen that had not activated was nil.

Figure 4.92. Graph. Plot of potential versus exposure time for STD1 concrete specimens with wire brushed (WB) 2201 bars compared to ones with as-received 2201 bars.

Potential decayed more rapidly for the W B specimens than for two of the three as-received bar ones, but the long-term values tended to merge with steady state values in the minus 300 to minus 400 millivolts subscript S C E range.

Figure 4.93. Graph. Plot of macro-cell current density versus exposure time for STD1 concrete specimens with wire brushed (WB) 2201 bars compared to ones with as-received 2201 bars.

The data indicate that current density increased with time for both bar types but at a generally greater rate for in the as-received case. Steady-state values for the W B specimens were near 0.25 microamps per square centimeter and for the as-received 0.50 to 1.0 microamps per square centimeter.

Figure 4.94. Graph. Plot of potential versus exposure time for STD1 concrete specimens with top mat crevice bars (splice) and 2201 reinforcement compared to ones with normal bar placement.

Potential decayed at about the same rate in both cases to steady-state values in the range minus 250 to minus 400 millivolts subscript S C E.

Figure 4.95. Graph. Plot of macro-cell current density versus exposure time for STD1 concrete specimens with top mat crevice bars (splice) and 2201 reinforcement compared to ones with normal bar placement.

In both cases, current density increased with time initially but subsequently decreasing for the C R E V bars and becoming negative in two cases.

Figure 4.96. Graph. Plot of potential versus exposure time for STD1 concrete specimens with a simulated crack and 2201 reinforcement compared to uncracked ones.

Potential was initially negative and remained constant overall for the C C O N specimens with data for the standard specimens merging with these at a potential near minus 300 millivolts subscript S C E.

Figure 4.97. Graph. Plot of potential versus exposure time for STD1 concrete specimens with a simulated crack and 2201 reinforcement compared to uncracked ones.

Data scatter is relatively large and in the range 0.50 to 1.00 microamps per centimeter squared initially for the C C O N specimens but with long-term steady-state values near 0.25 microamps per centimeter squared.  For the standard specimens, current density increased with time to a steady-state value in the range 0.50 to 1.00 microamps per centimeter squared..

Figure 4.98. Graph. Plot of potential versus exposure time for STD1 concrete specimens with top mat 2201 bars and bottom mat black bar compared to ones with all 2201 bars.

The trend for both specimen types shows relatively large scatter with potential decreasing with time to a steady-state value in the range minus 300 to minus 400 millivolts subscript S C E.

Figure 4.99. Graph. Plot of macro-cell current density versus exposure time for STD1 concrete specimens with top mat 2201 bars and bottom mat black bar compared to ones with all 2201 bars.

Current density increased with time for the standard specimens to an apparent steady-state current density in the range 0.50 to 1.0 microamps per centimeter squared. An increase with time occurred also for the black bar bottom mat specimens, but magnitude of the current density was less and eventually reversed for two of the specimens and current density became negative for one.

Figure 4.100. Graph. Plot of potential versus exposure time for STD1 concrete specimens with a simulated concrete crack and 2201 reinforcement compared to ones with a simulated crack and black bottom bars.

Potential was relatively constant with time and in the range minus 200 to minus 400 millivolts subscript S C E but with potential of one of the C C N B specimens decreasing after about 400 days to values in the minus 500 to minus 400 millivolts subscript S C E range.

Figure 4.101. Graph. Plot of macro-cell current density versus exposure time for STD1 concrete specimens with a simulated concrete crack and 2201 reinforcement compared to ones with a simulated crack and black bottom bars.

Current density for both specimen types exhibited scatter in the 0.1 to 1.0 microamps per square centimeter range to about 300 days, after which current density for the C C N B specimens decreased and stabilized at about minus 0.2 to minus 0.4 microamps per square centimeter, thus indicating that corrosion of the bottom black bars had activated.

Figure 4.102. Graph. Plot of potential versus exposure time for STD1 concrete specimens with a simulated crack and crevice at top bars (splice) and 2201 reinforcement compared results for ones with cracked concrete and normal top bar placement.

Potential for specimens of both types was scattered but generally constant with time in the range minus 200 to minus 400 millivolts subscript S C E.

Figure 4.103. Graph. Plot of macro-cell current density versus exposure time for STD1 concrete specimens with a simulated crack and crevice at top bars (splice) and 2201 reinforcement compared results for ones with cracked concrete and normal top bar placement.

Current density for both specimen types exhibited scatter in the 0.1 to 1.0 microamps per square centimeter range and stabilized in the long-term at 0.2 to 0.7 microamps per square centimeter.

Figure 4.104. Graph. Plot of potential versus macro-cell current density for 2201 reinforced specimens.

The graph shows that all data conform to a common band, albeit with scatter, that extends from relatively positive potentials and nil current density, or initial exposure, to progressively more negative potentials and higher current density as exposure continued.

Figure 4.105. Photo. Trace of the upper rebars and corrosion products on specimen number 1-STD1-2201-3.

Corrosion products are apparent at five of the six trace ends.

Figure 4.106. Photo. Trace of the upper rebars and corrosion products on specimen number 1-STD2-2201-2.

Extensive corrosion products are apparent over about 6 centimeters of two of the traces, whereas the third trace is relatively clean.

Figure 4.107. Photo. Trace of the upper rebars and corrosion products on specimen number 1-WB-2201-1.

One bar trace exhibits extensive corrosion products along about 8 centimeters, and minor corrosion products are apparent at several of the trace ends.

Figure 4.108. Photo. Trace of the upper rebars and corrosion products on specimen number 1-CREV-2201-1.

Extensive corrosion products are apparent at two of the trace ends with lesser amounts at the others.

Figure 4.109. Photo. Trace of the upper rebars and corrosion products on specimen number 1-CCON-2201-1.

Corrosion products are present where the simulated crack intersected the bars, and in one case the buildup of products is extensive to one side of the crack trace.

Figure 4.110. Photo. Trace of the upper rebars and corrosion products on specimen number 1-BCAT-2201-1.

Extensive corrosion products are apparent at two of the trace ends.

Figure 4.111. Photo. Trace of the upper rebars and corrosion products on specimen number 1-CCNB-2201-1.

Modest corrosion products are apparent where the simulated crack intersected one of the bars, but these are minor for the other two.

Figure 4.112. Photo. Trace of the upper rebars and corrosion products on specimen number 1-CCRV-2201-1.

Corrosion products are apparent where the simulated crack intersected each of the three bars and at the ends of the traces.

Figure 4.113 compares on a single plot the average macro-cell current density versus average potential data for each three specimen set (standard specimens only) of reinforcement types black bar, 3Cr12, MMFX-II™, and 2201 and illustrates that these conform to different trends. For black bar slabs, it was considered that active corrosion commenced once potential dropped to –280 mVSCE, at which point the average macro-cell current density was about 0.26 μA/cm2. If it is assumed that this same current density denotes onset of active corrosion for the other reinforcement types as well, then the corresponding potentials are –390, –350, and –195 mVSCE for 3Cr12, MMFX-II™, and 2201, respectively. These potentials were achieved after 35 days (black bar), 64 to 140 days (3Cr12), 91 to 140 days (MMFX-II™), and 64 to 94 days (2201).

Slabs Reinforced With 316 Solid and Clad (Stelax) Stainless Bars

Figures 4.114 and 4.115 show plots of potential and macro-cell current density, respectively, for the standard solid and Stelax clad stainless steel specimens in comparison to that for the black bar ones. This reveals a general trend where potential of the stainless steel specimens tended to become more positive with exposure time with all specimens conforming to a common band. Macro-cell current density has remained nil throughout the exposures. Data for the BCAT, CREV, CCON, CCRV, and CCNB specimen types are not presented since potentials conformed to the same scatter band as for the standard specimens (figure 4.114), and macro-cell current density was nil in all cases.

Thus, for the standard specimen simulated deck slab configuration the reinforcement types rank from best to worst, as:

Expression describing the ranking of reinforcement types according to corrosion resistance in simulated deck slab specimens; ranked from best to worst. Type 316 stainless steel is approximately equal to Stelax, which is much greater than reinforcement type 2 2 0 1, which is greater than reinforcement type M M F X hyphen I I, which is greater than reinforcement type 3 C R 1 2, which is greater than black bar reinforcement type.
(4.2)

Figure 4.113. Graph. Plot of average potential versus average macro-cell current density at each measurement time for three specimens of the four indicated reinforcement types.

For all four reinforcement types, current density increased as potential became more negative, but the four data sets were displaced from one another such that 2201 exhibited the most positive potentials followed by black bar, M M F X and 3 C R 1 2.

Figure 4.114. Graph. Plot of potential versus exposure time for STD1 and STD2 concrete specimens with 316.18, 316.17, and Stelax reinforcement compared to that for black bar in STD1 concrete.

All stainless steel specimens show a trend of potential increasing slightly with time to steady state values in the range minus 200 to minus 100 millivolts subscript S C E.

Figure 4.115. Graph. Plot of macro-cell current density versus exposure time for STD1 and STD2 concrete specimens with 316.18 reinforcement compared to ones with black bar in STD1 concrete.

Current density was nil for all stainless steel specimens for the entire exposure period (about 650 days).
Chloride Concentration

At several times during the exposures, 76 mm diameter cores were taken at the mid-spacing between bars in two of the reinforced STD1 concrete slabs and from blank (nonreinforced) slabs that underwent the same ponding as the reinforced ones. The cores were then sliced, the slices ground to powder, and the powder analyzed for acid soluble [CL‾] using the FDOT stan dared method.19 Figure 4.116 shows the results as a plot of [CL‾] versus time and indicates that sorption probably contributed to transport of this species in the early stages of the exposures ([ CL‾] = 0.65 kg/m3 after a single ponding cycle (14 days)). Also apparent is that relatively high Cl‾ concentrations resulted during the time frame of the exposures ([ CL‾] ≈ 5 kg/m3 after about 100 days and 10 kg/m3 after 300 days).

Three Bar Columns

Square Three Bar Column Specimens

Figure 4.117 presents a time-to- corrosion (defined as potential achieving–280 mVSCE) bar graph for all the S3BC specimens, where each bar in the plot represents the average of two or more specimens. In the case where corrosion has commenced for only one specimen, the total number of days of exposure is shown. The data indicate the following:

  1. Black bar specimens had the shortest time-to-corrosion irrespective of mix design. This includes all six STD1 and STD2 specimens.

    Figure 4.116. Graph. Plot of chloride concentration at 2.54 cm below the exposed surface of STD1 concrete slabs versus exposure time.

    The concentration increased from nil at initial exposure to 11.4 to 15.5 kilograms per cubic meter (concrete weight basis) after about 650 days.

    Figure 4.117. Graph. Time-to-corrosion results for square 3-bar column specimens.

    The best performance (greatest time-to-corrosion), in general, occurred for 316, followed by 2201 and M M F X, 3 C R 1 2, and black bar.
  2. All 3Cr12 specimens initiated corrosion, irrespective of mix design and specimen type.
  3. Specimens reinforced with MMFX-II™ exhibited performance that was equivalent to 3Cr12 in the most aggressive conditions (control and bent bar groups) but outperformed 3Cr12 in the least aggressive cases (elevated bar and STD2 standard).
  4. The 2201 reinforced specimens exhibited greater times-to-corrosion for all bars except 316.
  5. Irrespective of concrete quality and specimen type, only 316 stainless steel has not initiated corrosion.
  6. Bending the anode bar did not appear to have any effect on the time-to-corrosion of 316 and 2201 stainless steel reinforcements; but time-to-corrosion of 3Cr12 and MMFX-II™ was reduced by 47 and 41 percent, respectively.
  7. Elevating the bar in the three bar columns resulted in a greater time-to-corrosion compared to the normal configuration (figures 3.19 and 3.20). However, all 3Cr12 and one 2201 specimen initiated corrosion in this configuration.
  8. All reinforcement types performed better in the STD2 concrete than STD1 except for black bar, for which no difference was observed.
  9. The following ranking resulted based on the time required for potential to shift to –280 mVSCE or more negative (best to worst):
    Expression describing the ranking of reinforcement types based on the time required for the potential of square three bar column specimens to shift to minus 280 millivolts subscript S C E, or more negative; ranked from best to worst. Type 316 stainless steel is greater than reinforcement type 2201, which is greater than reinforcement type MMFX-11, which is greater than type 3 Cr 12, which is greater than black bar reinforcement type.
    (4.3)

    This is the same as for the simulated deck slab specimens, as indicated above, given that Stelax bars were not included in the three bar column test matrix.
Three Bar Tombstone Columns

Exposure of these specimens only commenced recently; and so there has been insufficient time to acquire meaningful results.

Macro-Cell Slab (MS) Specimens

Figure 4.118 shows a graph of typical potential and current trends with exposure time for macrocell slab specimens (MMFX-II™ in uncracked STD1 concrete in this case). The same criterion for defining corrosion initiation and time-to-corrosion was used as for the square three bar column specimens (potential ≤ –280 mVSCE). However, in cases where a measurable macro-cell current increase occurred at a different time, corrosion initiation was defined as the time at which this current was detected. For this specimen group, specimen A initiated corrosion at 212 days, B at 69 days, and C after 231 days, for an average of 171 days.

Figure 4.119 shows time-to-corrosion data for STD1 MS specimens without a simulated crack. Based upon these results, the following conclusions were reached:

Figure 4.118. Graph. Example potential and current data for macro-cell slab specimens.

One specimen activated at about 60 days and the other two at 212 and 231 days.

Figure 4.119. Graph. Time-to-corrosion results for the macro-cell slab specimens without a simulated crack.

The best performance (greatest time-to-corrosion), in general, occurred for 316, followed by 2201 and M M F X, 3 C R 1 2, and black bar.
  1. Control STD1 specimens reinforced with black steel exhibited the shortest time-to-corrosion (black steel was not included in the other specimen types except as the cathode bar in the black steel cathode group). Ranking of the different reinforcements in the standard or control specimens was as listed below (best to worst):
    Expression describing the ranking of reinforcement types based on the time required for the potential of macro-cell slab specimens to shift to minus 280 millivolts subscript S C E, or more negative; ranked from best to worst. Type 316 stainless steel is approximately equal to Stelax, which is greater than reinforcement type 3 C R 1 2, which is greater than reinforcement type 2 2 0 1, which is greater than reinforcement type M M F X hyphen I I, which is greater than black bar reinforcement type.
    (4.4)

    This ordering is the same as for the simulated deck slab and three bar column specimens with the exception that 3Cr12 outperformed 2201 and MMFX-II™. Apparently, the fact that bars in the macro-cell slab specimens were wire brushed was responsible for this, although it cannot be ruled out that the difference in specimen design also may have been a factor. This performance reordering is surprising in the sense that wire brushing of the pickled 3Cr12 was of greater benefit than wire brushing of the as-rolled 2201. Time-to-corrosion of MMFX-II™ was essentially the same in each of the two surface conditions.

  2. Reinforcements 3Cr12, MMFX-II™, and 2201 in the BCAT specimen configuration, exhibited greater times-to-corrosion than the corresponding controls. The reason for this improvement is unclear but will be investigated when the specimens are autopsied.
  3. The 3Cr12, MMFX-II™, and 2201 reinforcements in the BNTB configuration (see table 3.7) all exhibited greater times-to-corrosion than did the respective controls (the improvement may not be significant in the case of 3Cr12), suggesting that the advantageous feature of either the BENT or BCAT configuration was retained in combination.
  4. The best performance for each specimen type was exhibited by the 316 reinforcement. However, corrosion apparently initiated in one of the 316 BNTB specimens after approximately 260 days.

Figure 4.120 shows results for specimens with a simulated crack using the same format as in figure 4.119. This indicates that time-to-corrosion for black bar and 3Cr12 reinforced specimens was either relatively short (control specimens) or nil (BCAT and BENT configurations). The same was true for MMFX-II™ in the BNTB specimens. Otherwise, time-to-corrosion for the MMFX-II™ and 2201 specimens was comparable in general terms with that for the uncracked specimens. With the one exception noted above, none of the 316 reinforced specimens have initiated corrosion.

Field Columns

The field columns have been exposed for only 4 months. Currently, initial readings are all that are available, so there are no observations that can be made at this time.

Correlation of Concrete Specimen Data With Results From Accelerated Testing

Figure 4.121 shows a plot of time-to-corrosion for simulated deck slab and square three bar column specimens ens as a function of [CL‾th] , as determined from the AST-2A experiments. This reveals a general trend where, with the exception of the 2201 simulated deck slab data, time-to

Figure 4.120. Graph. Time-to-corrosion results for the macro-cell slab specimens with a simulated crack.

The best performance (greatest time-to-corrosion), in general, occurred for 316, followed by 2201 and M M F X, 3 C R 1 2, and black bar.

Figure 4.121. Graph. Plot of time-to-corrosion of reinforced concrete specimens as a function of [ CL‾th ] as determined from accelerated testing.

The data show a general trend that time-to-corrosion increased with increasing the critical chloride concentration threshold.

corrosion increased in proportion to [CL‾th] . The error bands for the three bar column data correspond to one standard deviation, whereas for the simulated deck slabs these correspond to the data range. In comparing results for the two specimen types, the fact that corrosion of the simulated deck slab rebars may have initiated at or near the concrete interface because isolation was not provided here may have affected the results for these specimens. For most bar types in these specimens, concrete cracking, once this occurred, was along the line of the reinforcement; however, in the specific case of the 2201 specimens, cracking often occurred diagonally at the corners. This appeared to have resulted from corrosion of rebar near the concrete surface. Figure 4.122 is a photograph of an example case of this cracking. Subject to this limitation, the fact that time-to-corrosion increased in proportion to [CL‾th] supports applicability of the AST-2A potentiostatic test method for projecting long-term reinforced concrete corrosion performance.

Figure 4.122. Photo. Example of corner cracking on a 2201 reinforced simulated deck slab specimen.

Example showing corner cracking on a 2201 reinforced simulated deck slab specimen.

A calculation of time-to-corrosion, Ti, of STD1 concrete specimens was made based upon the [CL‾th] projected for concrete from the AST-2A data (figure 4:31) using the one-dimensional solution for Fick’s second law,

The equation for the solution to Fick′s second law of diffusion configured to relate time-to-corrosion to the chloride threshold concentration. The ratio of the surface chloride concentration minus the threshold concentration to the surface concentration minus the initial concentration equals the Gaussian effort function of the quotient of concrete cover to the product of two times the square root of the product of the diffusion coefficient times time-to-corrosion.
(4.5)

where Cs. is [CL‾] at the exposed concrete surface, C0 is the initial [ CL‾ ] in the concrete, and De is the effective diffusion coefficient. A determination of De was made from the average of two Clprofiles obtained after 136 days of exposure (see figure 4.116), which are shown in figure 4.123, using a least squares best fit algorithm to equation 4.4. This yielded a De of 3.20·10-11 m2/s. Inputs to the Fick´s second law solution, in addition to this value for De, were cover 2.54·10-2 m and Cs 18 kg/m3. Table 4.6 lists the calculated time-to-corrosion for black bar, 3Cr12, MMFXII™, and 2201. The projected times-to-corrosion are in general agreement with the measured values for concrete specimens (figure 4.121) with the exception of the 2201 reinforced simulated deck slab specimens, the reason being as discussed above.

Figure 4.123. Graph. Chloride profile from each of two cores taken from STD1 concrete slabs after 136 days of exposure.

The concentration in both cases decreases from a near surface value of approximately 11.5 kilograms per cubic meter to near nil at 4.75 centimeters.

Table 4.6. Calculated times-to-corrosion for concrete specimens.
Bar TypeCth, w/o cement (Figure 4:30)Calculated Time-to-Corrosion, days
BB0.6581
3Cr12 MMFX0.8899
1.22128
22011.34138
<< Previous Contents Next >>

 

Federal Highway Administration | 1200 New Jersey Avenue, SE | Washington, DC 20590 | 202-366-4000
Turner-Fairbank Highway Research Center | 6300 Georgetown Pike | McLean, VA | 22101